menu
All
Channel
search
Log in
Join Open.Video
Log out
live_tv
Livestream Starting Soon
00
Hours
:
00
Minutes
:
00
Seconds
Up next in
10
CANCEL
PLAY NOW
Please enable JavaScript
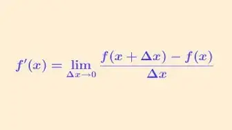
What is the derivative of a function in math? - Derivative of a function - Part 1
Feb 20, 2022
Share
0
0
Share
0
0
analyzemath.com
Subscribe
The concept of the derivative of a function is explained graphically and the origin of the formal definition explained. More in www.analyzemath.com
Show More
Show Less
#Mathematics
#Physics
#Derivatives
×
2026-03-03 20:15:35