menu
All
Channel
search
Log in
Join Open.Video
Log out
Up next in
10
CANCEL
PLAY NOW
Please enable JavaScript
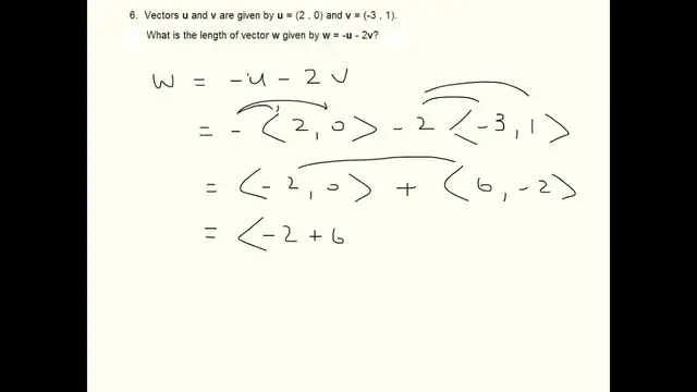
Calculate the length of vector
Feb 20, 2022
Share
0
0
Share
0
0
analyzemath.com
Subscribe
How to calculate the length of a vector? More math exploration, tutorials and problems at www.analyzemath.com
Show More
Show Less
×
2025-12-14 18:54:48