menu
All
Channel
search
Log in
Join Open.Video
Log out
live_tv
Livestream Starting Soon
00
Hours
:
00
Minutes
:
00
Seconds
Up next in
10
CANCEL
PLAY NOW
Please enable JavaScript
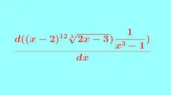
what is logarithmic differentiation? Derivative of a Function - part 7
Feb 20, 2022
Share
0
0
Share
0
0
analyzemath.com
Subscribe
The method of logarithmic differentiation is explained using several examples. see www.analyzemath.com/calculus.html for more examples
Show More
Show Less
#Mathematics
#Technical Reference
#Other
×
2026-03-03 09:04:21