Solve Linear inequalities
Oct 3, 2022
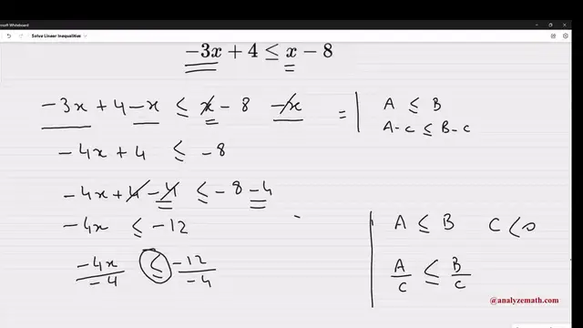
Several examples, including inequalities with fractional expressions, are solved and the solution set is written using inequality symbols, intervals, and graphically on the number line. Great care is taken when multiplying or dividing both sides of an inequality by a NEGATIVE number when we must reverse the symbol of the inequality.
More math videos at https://www.analyzemath.com/math-videos.html.
More math problems with solutions at https://www.analyzemath.com
More grade 12 math practice at https://www.analyzemath.com/high_school_math/grade_12/grade-12-practice.html
More grade 11 math practice at https://www.analyzemath.com/high_school_math/grade_11/grade-11-practice.html
Subscribe to my channel to get more videos on math for all levels
https://www.youtube.com/channel/UC2cmvDflm86w7C_D7QmcOVA? sub_confirmation=1
Show More Show Less 