Video thumbnail for Solve Equations with Fractions

Solve Equations with Fractions

Oct 4, 2022
analyzemath.com Logo

analyzemath.com

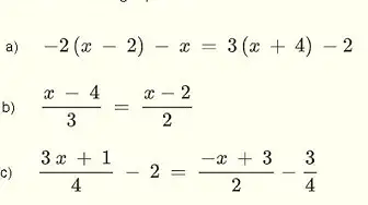
This video first explains the steps to solve an equation with brackets. Then equations with fractions are solved following the steps: 1 - find the lowest common multiple of the denominators 2 - multiply all terms of the equations by the lowest common multiple of the denominators found in step 1. 3 - expand the brackets 4 - group like terms on each side of the equation 5 - isolate the terms with x on one side and the terms with number on the other side of the equation 6 - find the solution. More at https://www.analyzemath.com/middle_school_math/grade_9/grade-9-practice.html More math videos at https://www.analyzemath.com/math-videos.html. More math problems with solutions at https://www.analyzemath.com Subscribe to my channel to get more videos on math for all levels https://www.youtube.com/channel/UC2cmvDflm86w7C_D7QmcOVA? sub_confirmation=1