Simplify Logarithmic Expressions
Oct 20, 2022
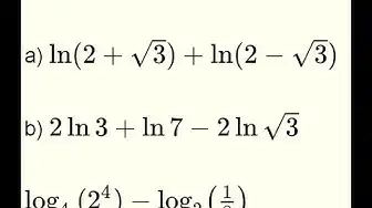
This video discusses the different ways to simplify logarithmic expressions using a combination of the rules of logarithms. The expressions simplified include the sum and difference of logarithms and also logarithms multiplied with coefficients.
More on rules of logarithms at https://www.analyzemath.com/logfunction/rules-of-logarithms-and-exponentials-questions-with-solutions.html
More on logarithms at https://www.analyzemath.com/math_questions/math_questions_3.html
More math videos at https://www.analyzemath.com/math-videos.html.
More math problems with solutions at https://www.analyzemath.com
Subscribe to my channel to get more videos on math for all levels
https://www.youtube.com/channel/UC2cmvDflm86w7C_D7QmcOVA? sub_confirmation=1
Show More Show Less 