menu
All
Channel
search
Log in
Join Open.Video
Log out
live_tv
Livestream Starting Soon
00
Hours
:
00
Minutes
:
00
Seconds
Up next in
10
CANCEL
PLAY NOW
Please enable JavaScript
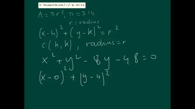
Sat Math Level 2 Question and Solution- find the area of a circle given its equation -
Feb 20, 2022
Share
0
0
Share
0
0
analyzemath.com
Subscribe
http://www.analyzemath.com Sat Math level 2 question. Find the area of a circle given its equation
Show More
Show Less
×
2026-03-13 09:24:50