Evaluate and Simplify Expressions for Given Values of the Variables - Grade 9
Oct 3, 2022
In this video, the author presents ways and ideas on how to evaluate expressions including square root, absolute value, and rational expressions for given values of the variables.
Examples Presented
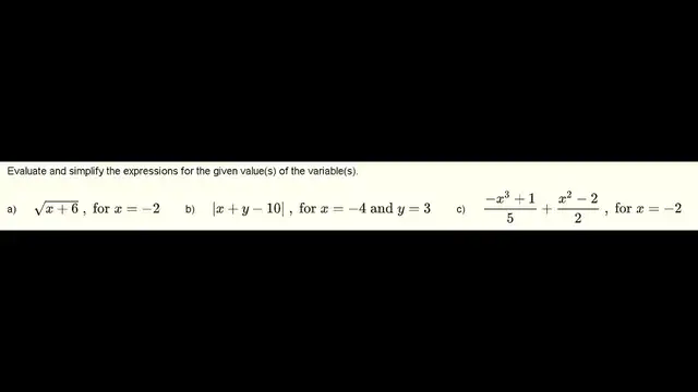
a) Evaluate \sqrt (x + 6) for x = -2
b) Evaluate | x + y - 10| for x = -4 and y = 3
c) Evaluate ( - x^3 + 1)/ 5 +(x^2 - 2)/2 for x = -2
More at https://www.analyzemath.com/middle_school_math/grade_9/grade-9-practice.html
More math videos at https://www.analyzemath.com/math-videos.html.
More math problems with solutions at https://www.analyzemath.com
Subscribe to my channel to get more videos on math for all levels
https://www.youtube.com/channel/UC2cmvDflm86w7C_D7QmcOVA? sub_confirmation=1
Show More Show Less 